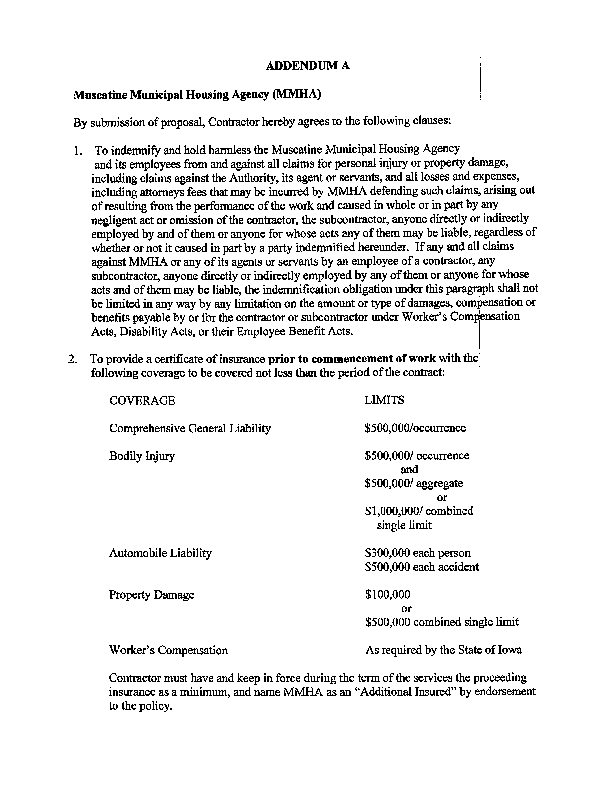
Version History

Type # Version Owner Created Size  
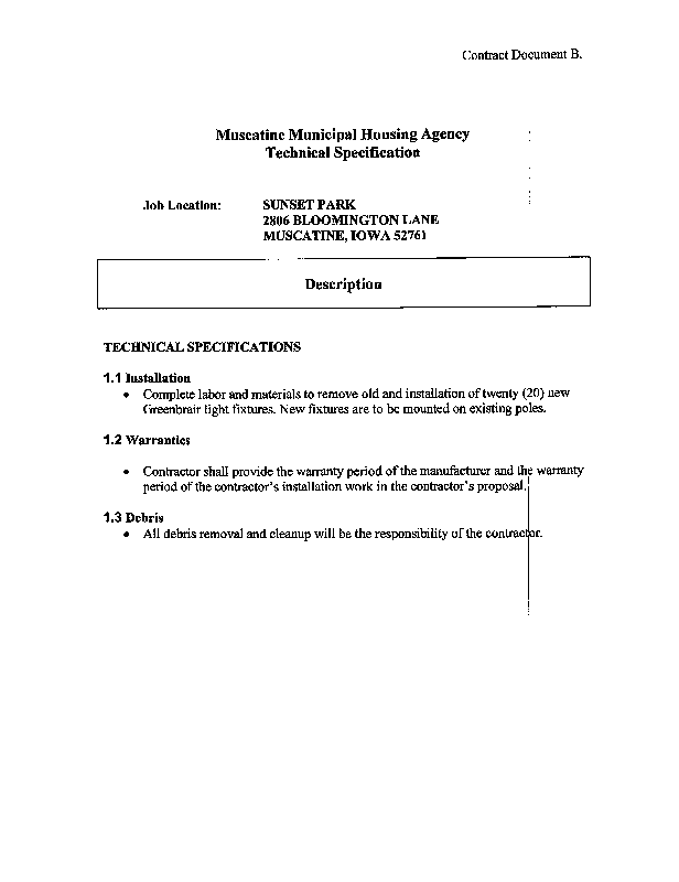
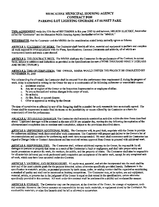
Version 1 Resolution Approving Parking Lot Pole Lighting Upgrade at Sunset Park

Initial Version

chilger 09/19/24 01:49 PM 941025