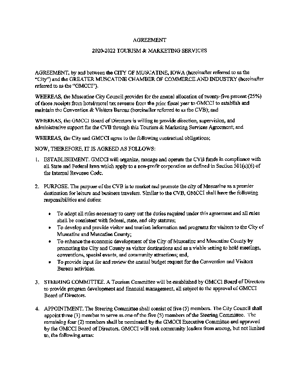
Version History

Type # Version Owner Created Size  
Version 1 Agreement with GMCCI to Provide Marketing Services.pdf

Initial Version

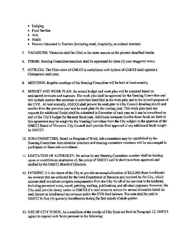
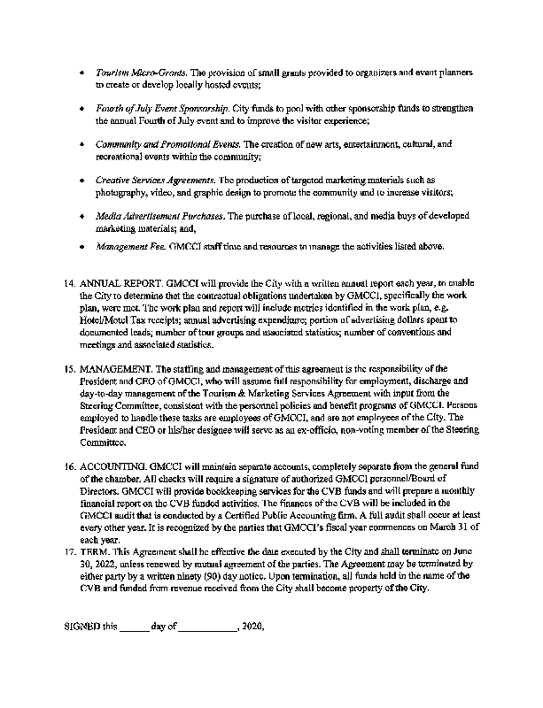
chilger 01/19/21 08:57 AM 1185247