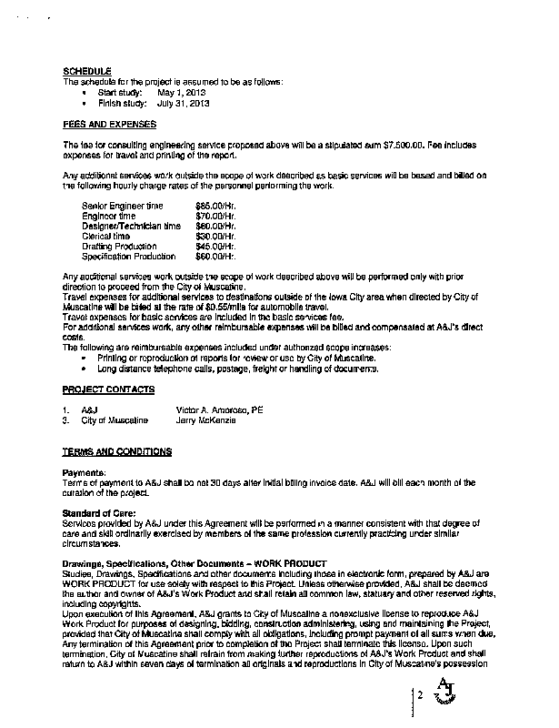
Version History

Type # Version Owner Created Size  
Version 1 Art Center HVAC Studies Approvement.pdf

Initial Version

chilger 02/14/19 02:06 PM 2260348