Version History

Type # Version Owner Created Size  
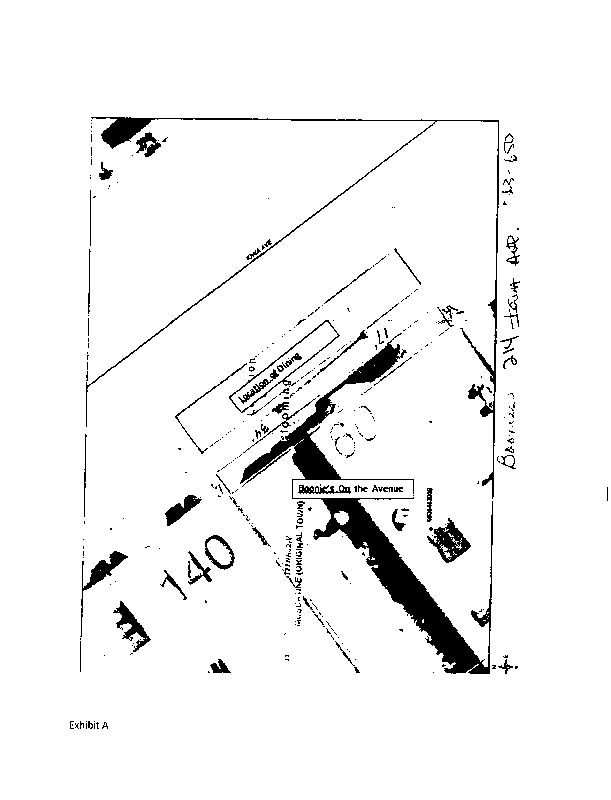
Version 1 Res. Adopted Accepting Sidewalk or Street Cafe Easement Agreements with Boonie's on the Avenue and Avenue Subs

Initial Version

chilger 11/29/17 04:05 PM 482402