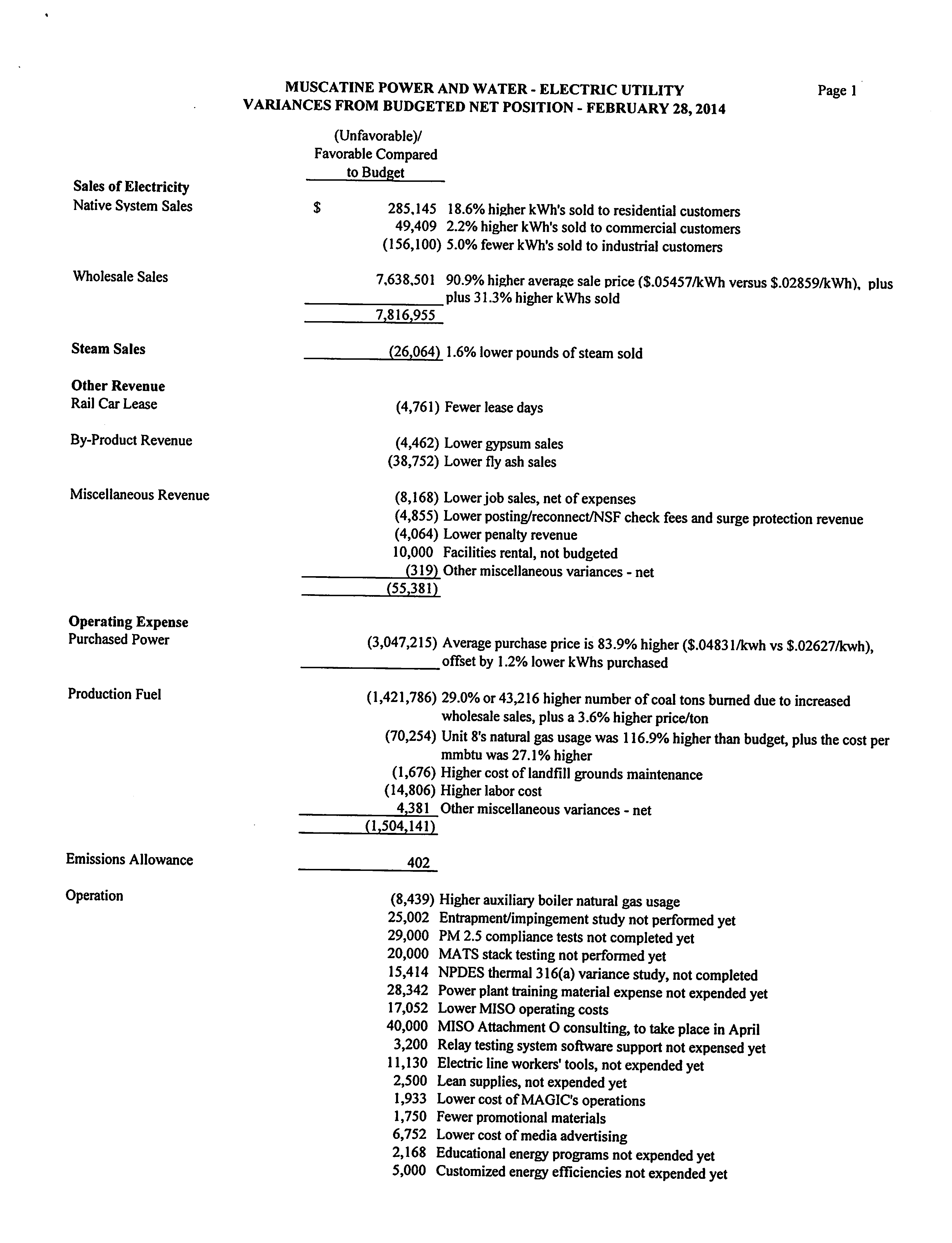
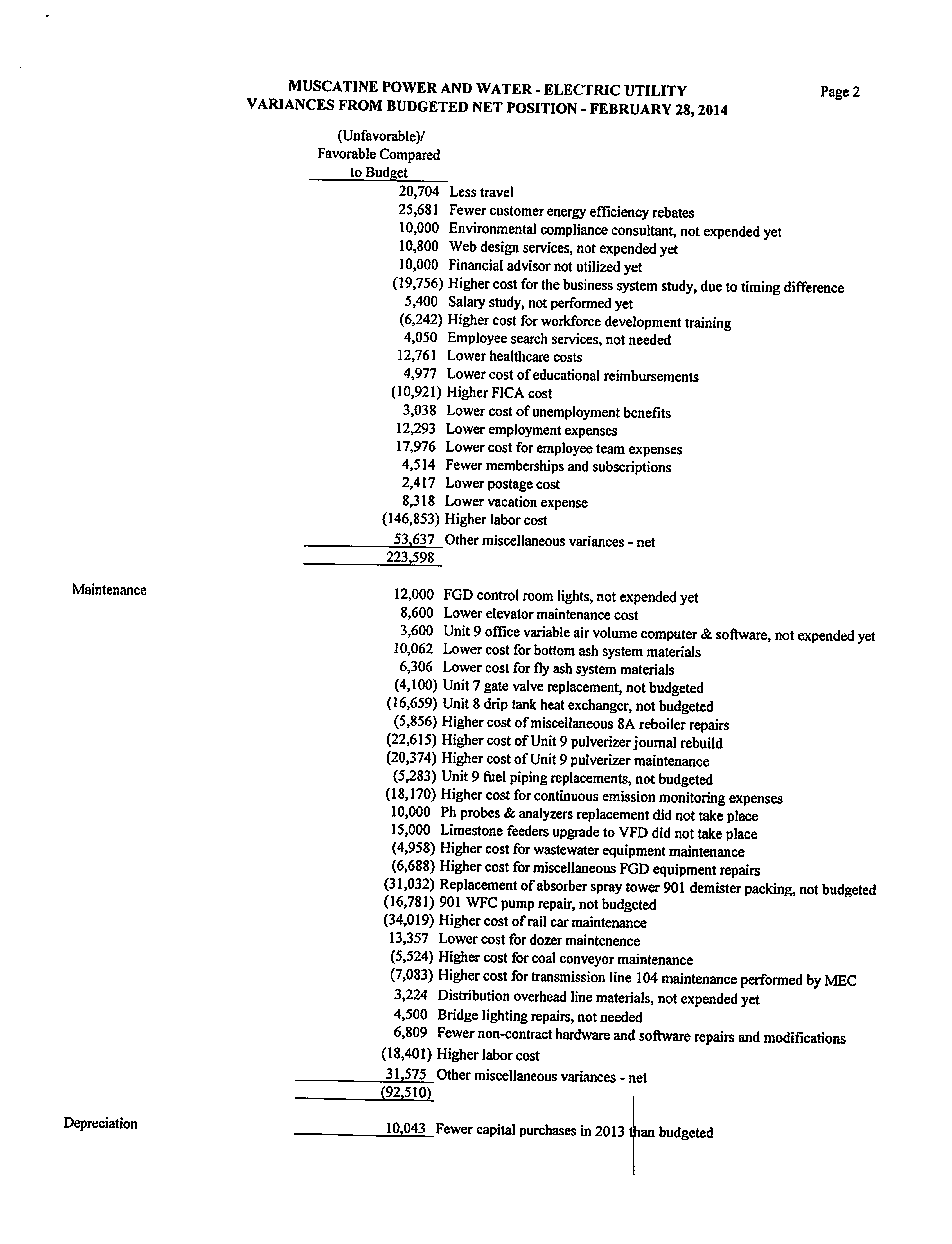
ITEM 12F














    Back to top